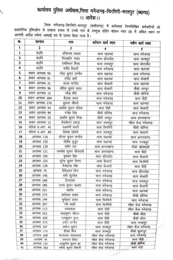
The Duniyadari: मनेंद्रगढ़- जिले में प्रशासनिक कसावट को मजबूत करने के उद्देश्य से पुलिस विभाग में व्यापक स्तर पर तबादला आदेश जारी किया गया है। पुलिस अधीक्षक रत्ना सिंह के निर्देश पर एक साथ कई पुलिसकर्मियों की नई पदस्थापना की गई है।
जारी आदेश के तहत 4 सहायक उप निरीक्षक (ASI), 13 प्रधान आरक्षक (हेड कॉन्स्टेबल) और 52 आरक्षकों का स्थानांतरण किया गया है। इस बड़े फेरबदल से कुल 69 पुलिसकर्मी प्रभावित हुए हैं।

बताया जा रहा है कि यह कदम कानून-व्यवस्था को और बेहतर बनाने तथा कार्यप्रणाली में कसावट लाने के उद्देश्य से उठाया गया है। विभागीय स्तर पर इसे नियमित प्रशासनिक प्रक्रिया का हिस्सा माना जा रहा है, जिससे विभिन्न थानों और चौकियों में कार्य संतुलन बनाए रखा जा सके।















